Ирисовый клапан Airone IRIS
Корпус и регулирующие пластины клапанов изготавливаются из стального оцинкованного листа. Патрубки корпуса снабжены резиновыми уплотнениями, что обеспечивает герметичность соединения с воздуховодами.
● Ирисовый клапан IRIS предназначен для контроля и регулирования расхода воздуха. Ирисовые клапаны AIRONE имеют существенные преимущества по сравнению со стандартными регулирующими клапанами – это низкий уровень шума, центрирование воздушного потока, фиксированные точки замеров для проведения точных измерений и наладки вентиляционной системы. Ирисовая диафрагма открывается полностью, поэтому не требуется сервисная дверца для проведения чистки. В производственную программу входят клапаны диаметром от 100мм до 800мм. Максимальная рабочая температура ирисового клапана Airone IRIS - 85 °С.
● Клапан изготовлен из оцинкованной листовой стали и оснащен резиновым уплотнением, проверенным на герметичность. Клапан компактен и поставляется откалиброванным на заводе. На корпусе клапана нанесена легко читаемая шкала настройки и установлены соединительные штуцеры для измерения падения давления на нем.
● Во избежание турбулентности воздушного потока, регулирующий клапан IRIS должен быть установлен в соответствии с требованиями по безопасным расстояниям (см. табл.). IRIS обеспечивает проведение точных измерений во всех точках, включая точки вблизи изгибов воздуховода, таких как Т-образные соединения и изгибы, а также точки перед воздухораспределителями всех видов.
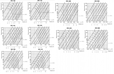
● Выставив по рискам шкалы положение лепестков диафрагмы и измеряя с помощью дифференциального манометра падение давления на клапане, можно определить расход воздуха, проходящего через клапан. Управление воздушными клапанами осуществляется вручную. Клапаны сохраняют работоспособность и могут эксплуатироваться вне зависимости от пространственного положения их установки.
● Применение ирисовых клапанов компании AIRONE позволяет значительно упростить процесс наладки вентиляционных систем и сэкономить значительную часть бюджета, требующегося на наладку вентиляционных систем без ирисового клапана компании AIRONE!






